Study Guide
Middle School Education: Mathematics
Sample Questions
Competency 0001
Understand numbers.
1. In the base-2 number system, the sum of 101 and 1011 is:
- 1000
- 1112
- 2000
- 10000
- Enter to expand or collapse answer.Answer expanded
- Correct Response: D. Align addends 101 and 1011 such that place values are in the appropriate columns. Add the two digits in the right column, 1 + 1 = 2. The 2 is regrouped as equaling 1 × 21 + 0 × 20 with the 1 carried to the next column (Table 1). Continue the process until complete (Table 2), regrouping as needed, yielding the sum 10000.
Competency 0002
Understand operations.
2. A car that is advertised for $28,900 is sold after an 8% discount. If the commission rate is 0.75% of the sale price, how much money will the salesperson earn?
- $199.41
- $216.75
- $19,941.00
- $21,675.00
- Enter to expand or collapse answer.Answer expanded
- Correct Response: A. The final sale price of the car is 92% of the original asking price (100% – 8% discount) and the salesperson earns 0.75% of the sale price, so the commission = ($28,900)(0.92)(0.0075) = $199.41.
Competency 0003
Understand patterns, relations, and functions.
3. A hiker climbs uphill at a steady pace, rests at a scenic spot for a while, then continues at a slower pace to the top of the hill. The hiker stops for lunch at the top, then decides to run down to the base of the hill. Which of the following graphs best expresses the hiker's speed as a function of time?
- Enter to expand or collapse answer.Answer expanded
- Correct Response: C. The "steady pace" held by the hiker reflects a constant speed over time; thus the first section of the graph is a horizontal line (slope equals zero) at some constant value of speed. The hiker slows to a resting position with a speed of zero, though time passes so the value for time continues to increase. The approach to the top of the hill shows a positive slope, with increasing speed and time as the hiker resumes walking, but since the pace is slower, the graph does not reach the previous level of speed. This pattern repeats when the hiker stops for lunch, but the run to the base reflects a greater speed than was achieved on the initial climb.
Competency 0004
Understand algebraic techniques and applications.
4. Which of the following equations could be one of the steps used to solve
for x?
- 2(5x – 7) = 9(x – 4) + 1
- 5x – 7 = 3(x – 4) + 2
- 5x – 7 = 3(x – 4) + 1
- 2(5x – 7) = 9(x – 4) + 6
- Enter to expand or collapse answer.Answer expanded
- Correct Response: D. Place the terms in the equation over the common denominator 6, and simplify:
Competency 0005
Understand linear relations and applications.
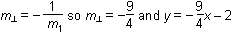
5. Which of the following is an equation of a line perpendicular to the line 4x – 9y = 12?
- Enter to expand or collapse answer.Answer expanded
- Correct Response: B. The slope,
, of the given line is found by isolating y in the given equation.
The slope,
, of a line perpendicular to the given line is the negative reciprocal of the slope of the given line
. Thus
is the equation of a perpendicular line.
Competency 0006
Understand nonlinear relations and concepts of calculus.
6. If the limit of function h(x) equals a real number k as x goes to negative infinity, which of the following is the equation of an asymptote of the graph of h(x)?
- x = –k
- y = k
- x = k
- y = –k
- Enter to expand or collapse answer.Answer expanded
- Correct Response: B. The situation described can be represented as
. This means that as x approaches negative infinity, h(x) approaches but never reaches k and that y = k is a horizontal asymptote.
Competency 0007
Understand measurement principles, procedures, and applications.
7. A car is traveling at a speed of 100 km/h. What is its approximate speed in meters per second?
- 28 m/s
- 36 m/s
- 280 m/s
- 360 m/s
- Enter to expand or collapse answer.Answer expanded
- Correct Response: A. Both units in the given quantity must be converted: kilometers to meters and hours to seconds:
Competency 0008
Understand Euclidean geometry in two and three dimensions.
8. Use the figure below to answer the question that follows.

Five lines intersect as shown in the figure. If x and y are angle measures in degrees, which of the following equations relates y to x?

- y = x – 90°

- y = 180° – x
- Enter to expand or collapse answer.Answer expanded
- Correct Response: B. If two lines are both perpendicular to the same transversal, the two lines are parallel. Thus there are two pairs of parallel lines in the figure. By the alternate interior angle theorem, x = y + 90° and y = x – 90°.
Competency 0009
Understand coordinate and transformational geometry.
9. The endpoints of one diagonal of a parallelogram are (1, 3) and (1, –3). The endpoints of its other diagonal are (3, 1) and

- 10

- 20
- Enter to expand or collapse answer.Answer expanded
- Correct Response: C. Use points (1, 3) and (3, 1), then points (3, 1) and (1, –3), and the distance formula to find the length of two different sides of the parallelogram:
. There are two of each of these sides, thus the perimeter of the parallelogram is
.
Competency 0010
Understand principles and techniques of statistics.
10. Which of the following types of data representation would be most useful for illustrating a correlation between two variables?
- a scatter plot
- a double bar graph
- a histogram
- a box-and-whisker plot
- Enter to expand or collapse answer.Answer expanded
- Correct Response: A. The scatter plot is the only one of the four choices that displays data that occur as ordered pairs for two variables.
Competency 0011
Understand principles of probability and techniques for determining probability.
11. Milkshakes come in chocolate, vanilla, and strawberry flavors. Two people ordered milkshakes, but their orders were lost. If each person is given a randomly chosen flavor, what is the probability that they will both get the flavor that they ordered?
- Enter to expand or collapse answer.Answer expanded
- Correct Response: D. The probability of one person getting the right flavor of shake is
. The probability that the second person gets the right flavor is also
. Since the two events are independent, the probability of the two people each getting the right flavor shake is
.











